How do we do it?
Let Lumirate do the hard work
Lumirate automates your massive health care data pipeline, end-to-end. It scans the files, runs extractors, validates results, and outputs data—all from one simple system.
AI-Powered File Processing
Transform complex healthcare data into actionable insights with our advanced AI scanning technology. Process millions of records in minutes with 99.9% accuracy.
- Real-time validation with ML-powered accuracy checks
- 10x faster processing compared to traditional methods
Intelligent Data Extraction
Our smart extraction engine understands healthcare data context, automatically mapping complex relationships and standardizing outputs for seamless integration.
- Interactive dashboards with real-time analytics
Enterprise-GradeValidation Engine
Advanced algorithms and healthcare expertise combine to ensure data integrity across all processing stages.
- HIPAA and HITECH compliant validation protocols
- Real-time error detection with AI-powered correction
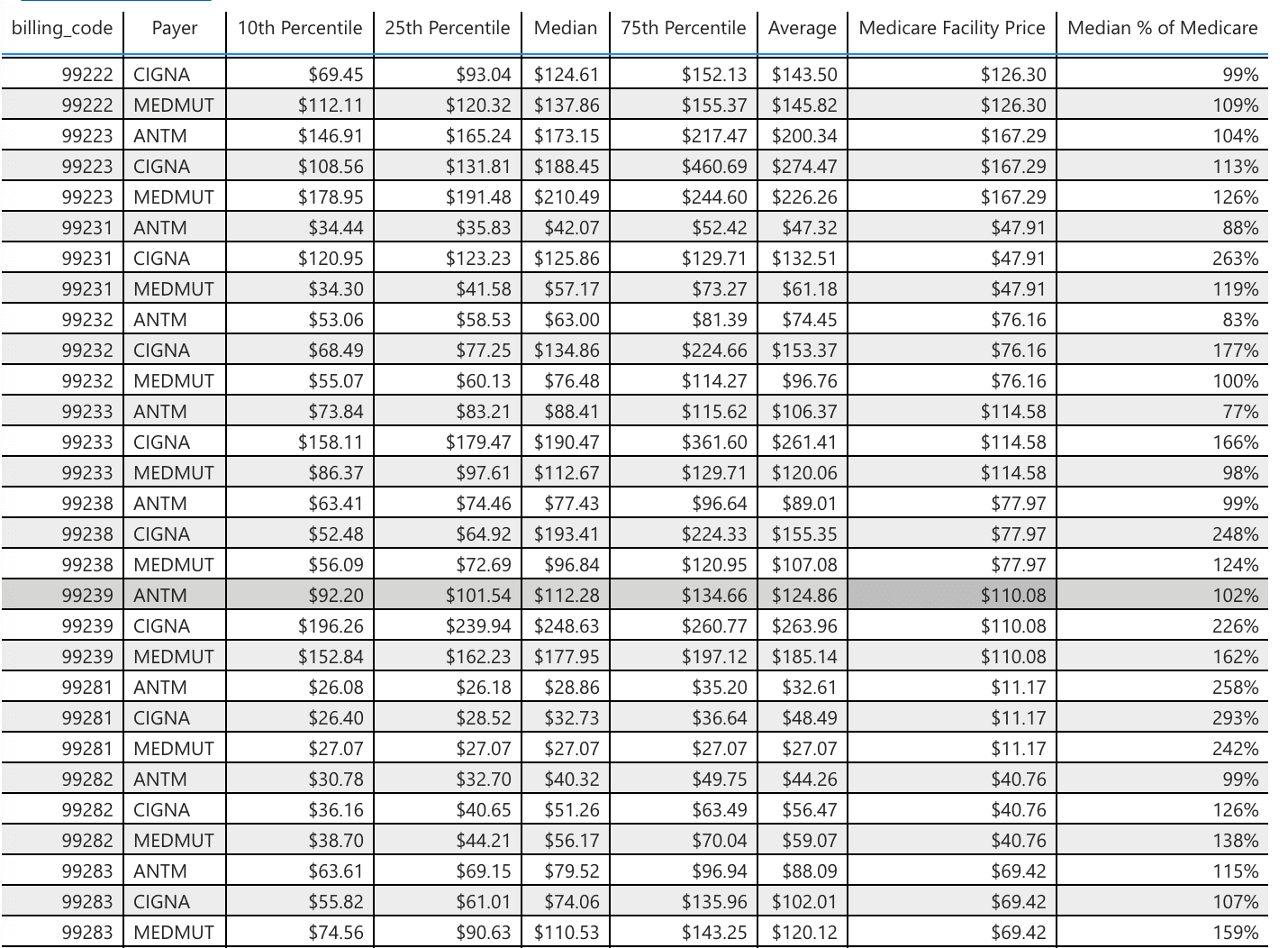
Interactive Coverage Comparison
Empowering healthcare stakeholders with comprehensive insights into insurance coverage patterns and reimbursement analytics. Our platform transforms complex healthcare data into actionable intelligence.
Sample contract rates distribution for emergency and hospital medicine services in Ohio.

About us
Lumirate was founded to make transparency in coverage data (machine readable files – MRF) available to interested users We have extensive RCM knowledge and understand the nuances of MRF data that are not readily apparent (e.g., MD vs non-MD contract rates). Our solutions are both standard and tailored – we have standard reporting as well as the ability to customize to meet specific requirements.




Josh Pollatsek
Founder, CEO
Over 30 years of health care policy and IT experience ranging from start-up to Fortune 50 in size. Experience in all aspects of business leadership, including P&L management, implementation and customer support management and service delivery. Two successful exits (founder of first, key executive of second) – both sold to Fortune 50 company.
